新闻列表
咨询热线:
187 - 6397 - 2757
在前面几篇文章中,已经向各位家长们介绍了很多很多关于是否学习编程的重要性!
今天就做下实验,通过编程如何解决我们数学组的数值累加之和!!
问题:计算1+2+...+100 =?
据说,数学王子——高斯10岁时,数学老师为了惩罚一帮不听话的孩子,出了一道算术难题,就是上面这道题目。原以为会让大家忙乎一阵子,可是不一会儿高斯就向老师报告他算出来了。高斯的算法是这样的:
(1+100)+...+(50+51)=101×50=5050
现在,为了更好理解,有人提出:
| 1 | 2 | 3 | ... | 99 | 100 |
| + | + | + | ... | + | + |
| 100 | 99 | 98 | ... | 2 | 1 |
| 101 | 101 | 101 | ... | 101 | 101 |
2×(1+2+...+100) =101×100=100100
1+2+...+100 =100100÷2=5050
这些当然都是很好的算法。但是从1开始一个数一个数硬算也是一种方法呀。虽然这种方法对于人工计算来说可能稍显复杂一点,但这种重复的计算对于计算机来说,压根儿就不是个事!我们今天就通过编程硬算。
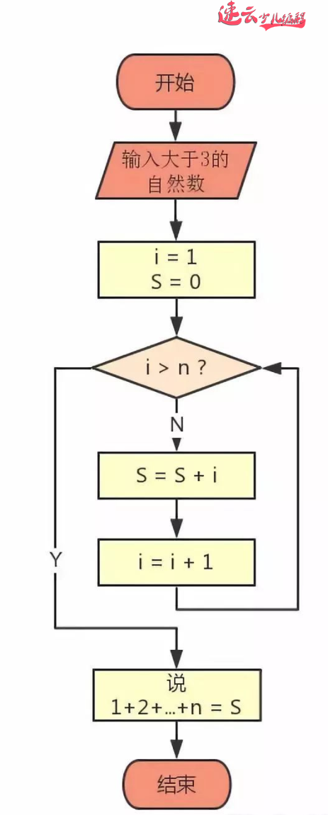
通常在编写代码前,会把算法用流程图表示出来,就像盖房子先要有施工图一样。所谓编程,就是按照流程图,按部就班编写代码!有了具体的算法,很容易画出程序流程图。“硬算”的流程图如下:

有了流程图,编写代码就很简单了。流程图就是编程的施工图。学习编程,画流程图是基本功。一定要养成无流程图不写代码的好习惯!流程图本身就是编程思路的体现,通过画流程图也可以进一步整理我们的思路。

程序写好后,还要调试,看看功能是否正常。运行程序,按照提示输入100,结果很快出来了,“1+2+...+100=5050”。秒杀!
计算机是不是很强大呀!但前提是你要会编程呀!只有会编程,你才能让计算机替你解决问题呀!别担心,编程其实也没有想象那么难!只要你愿意学。


当然,无人机编程就更加深奥,比如我们看下面的视频吧!
无人机能六架一起起飞?没错!那他又和数学有什么关系呢?
小云说啦!这是根据我们数学中的坐标轴的 x轴 y轴 初始化无人机位置,无人机与无人机之间的距离、架数的多少,全部需要通过精密的计算,否则无法编排出理想的造型。
现在作为家长的你!还在纠结无人机编程是否对孩子有帮助吗?
无人机编程能做什么?人脸识别?智能跟随?自动飞行?还有吗?
答案:有!那就是"无人机编舞"!不知道无人机如何编舞?快看下面我们速云小童鞋的无人机编舞吧!!
无人机编程都学习哪些内容呢?
让无人机与编程结合?
没错!就是要让孩子“动手”+“编程”实现无人机起飞。
重点培养孩子逻辑思维能力与动手操作能力,让孩子在编写无人机程序的时,无形的锻炼孩子的逻辑思维能力和前沿科技的运用能力,在飞行学习中,孩子们需了解飞机的机械结构,练习手眼协同能力,甚至自己组装飞行器;在编程中,无人机可以在三维空间中,用摄像头完成巡线、人脸识别等人工智能任务。
例如:人脸识别,智能跟随,红外线定稿,光流定位、无人机编舞等。


看我们小童鞋们上课视频吧
坦克编程都学习哪些内容呢?
动手组装”+“编写程序”
通过编程将抽象理论与实践操作合二为一,让孩子重新理解知识,体验人工智能,培养独立思考的习惯和动手解决问题的能力。
课程涉及机器人拼装、力学等数理知识,运用六类人工智能模块,编写专属的自动驾驶算法程序,让孩子更加深入理解人工智能技术。
例如:人脸识别、智能跟随等前沿技术。

