新闻列表
咨询热线:
187 - 6397 - 2757
速云少儿编程致力于 4 - 18 岁,是山东省少儿无人机教育培训机构。想让孩子在同龄孩子面前更加出色吗,快看看我们小同学是如何学习编程的吧。
学习编程之前家长可能问,三四岁的小同学能学会吗?那我们先看个视频吧!
我们来看一看四岁小朋友的学习视频吧!
家长担心孩子们真的能听懂课程吗在每节课即将结束的时候我们都会进行课程汇报展示,来看一下小童鞋的汇报成果吧!
这个时候家长可能说了,我们四岁的孩子,年龄辣么小,又不认字,那该如何学习呢?
其实四岁、五岁的孩子不认字怎么学习?只要孩子识别颜色就可以学习。通过颜色识别具体编程积木,比如:蓝色是运动、紫色是外观、黄色是事件等等,通过颜色识别文字,根据颜色先实现出程序做出卡通的效果,以激发孩子兴趣,使孩子产生兴趣后开始具体学习每个积木的作用,再学习积木上面的文字。如下图:

好啦!进入正题,今天本篇文章介绍新的物理内容 - “光的折射”。
首先,什么是光的折射呢?
光的折射:光的折射是指,光从一种介质斜射入另一种介质时,传播方向发生改变,从而使光线在不同介质的交界处发生偏折。


在生活中,我们把筷子或者笔插入水中,看到笔在水面处发生了弯折,这就是由于光的折射引起的。
如下图所示,一束光从A点斜射入水中,在水面处发生偏折,垂直于水面画一条法线,入射光线与法线之前的夹角就是入射角,折射光线与法线之间的夹角就是折射角。

光的折射有哪些特性呢?
1、当光线从空气斜射入其它介质时,角的性质:折射角(折射率大的一方)小于入射角(折射率小的一方)。
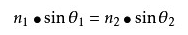
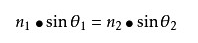
2、光的折射率为:光从介质1射入介质2发生折射时,入射角

与折射角

的正弦之比

叫做介质2相对介质1的折射率,即“相对折射率”,也就是说

水、空气、玻璃的折射率由小到大的排列顺序是:
空气的折射率<水的折射率<玻璃的折射率。
空气的折射率约是1。
水的折射率约是1.33。
透明玻璃的折射率约是1.5。
3、在光的折射现象中,光路是可逆的。
二、鱼在水中发生的折射现象
我们在陆地上看到水中的“鱼”,如果往“鱼”看到的地方刺去,可能会刺不中“鱼”。但是如果往“鱼”的更深处刺去,就可以刺到鱼,这就是光的折射引起的。
我们要看到鱼,就是鱼反射的光线进入我们的眼睛。当光从水中传入空气中,发生了折射,我们顺着折射光线看去,看到的鱼其实是“鱼”的像,比真实的鱼的位置要浅。

现在,我们人眼看到了鱼的“像”,已知人眼的位置和“鱼像”的位置,我们来求得鱼的真实位置,接下来用编程来模拟这个过程吧。

三、程序的设计
1、计算入射角的大小
已知鱼像的位置和眼睛的位置,可以确定入射角,计算入射角的大小

根据直线方程y = ax + b,已知直线上的两点:眼睛和鱼像,
求得a和b的值,即可确定这条直线。
a = (y1-y0)/(x1-x0),求得直线的斜率。

这条直线与水面的交点,就是光线发生偏折的位置,也就可以确定法线。
上面求得的直线的斜率 a = tan(90+入射角),即可求得入射角

2、计算折射角。
根据上面介绍的相对折射率的公式,

已知n1为空气中的折射率(n1=1),n2为水中的折射率(n2 = 1.33)

为入射角,求得折射角


3、求鱼的真实位置
根据折射角,法线的位置,即可求得折线光线的路径。
已经鱼的x值 = 鱼像的x值,带入直线方程,即可求得鱼的y值。


四、代码如下:
程序的主要逻辑代码如下:


用编程去模拟光的折射原理,是不是很有趣啊,同学们都听懂了吗
这个时候,家长们你还认为编程就是给孩子增加一个兴趣吗?



计算机是不是很强大呀!但前提是你要会编程呀!只有会编程,你才能让计算机替你解决问题呀!别担心,编程其实也没有想象那么难!只要你愿意学。


当然,无人机编程就更加深奥,比如我们看下面的视频吧!
无人机能六架一起起飞?没错!那他又和数学有什么关系呢?
小云说啦!这是根据我们数学中的坐标轴的 x轴 y轴 初始化无人机位置,无人机与无人机之间的距离、架数的多少,全部需要通过精密的计算,否则无法编排出理想的造型。
现在作为家长的你!还在纠结无人机编程是否对孩子有帮助吗?
无人机编程能做什么?人脸识别?智能跟随?自动飞行?还有吗?
答案:有!那就是"无人机编舞"!不知道无人机如何编舞?快看下面我们速云小童鞋的无人机编舞吧!!
无人机编程都学习哪些内容呢?
让无人机与编程结合?
没错!就是要让孩子“动手”+“编程”实现无人机起飞。
重点培养孩子逻辑思维能力与动手操作能力,让孩子在编写无人机程序的时,无形的锻炼孩子的逻辑思维能力和前沿科技的运用能力,在飞行学习中,孩子们需了解飞机的机械结构,练习手眼协同能力,甚至自己组装飞行器;在编程中,无人机可以在三维空间中,用摄像头完成巡线、人脸识别等人工智能任务。
例如:人脸识别,智能跟随,红外线定稿,光流定位、无人机编舞等。


看我们小童鞋们上课视频吧
坦克编程都学习哪些内容呢?
动手组装”+“编写程序”
通过编程将抽象理论与实践操作合二为一,让孩子重新理解知识,体验人工智能,培养独立思考的习惯和动手解决问题的能力。
课程涉及机器人拼装、力学等数理知识,运用六类人工智能模块,编写专属的自动驾驶算法程序,让孩子更加深入理解人工智能技术。
例如:人脸识别、智能跟随等前沿技术。

